AAVSO Alert Notice 700 announces an observing campaign underway on the long period eclipsing binary EE Cep. Please see the notice for details and observing instructions.
Many thanks, and Good observing,
Elizabeth O. Waagen, AAVSO HQ
AAVSO Alert Notice 700 announces an observing campaign underway on the long period eclipsing binary EE Cep. Please see the notice for details and observing instructions.
Many thanks, and Good observing,
Elizabeth O. Waagen, AAVSO HQ
Hello,
can i attend with a DSLR with Bayer Mask TG, TR, TB too? (Because of the requested filters: Jhonson Cousins RCIC and near infrared JHK?)
My accuracy range is from 3 - 10 mmag.
Bernhard
Hello,
Yes.
The star changes the spectral type during an eclipse, but I think photometry will be useful. Especially TG and TB, but TR is also worth adding.
Regards
Dariusz
Hi Bernhard,
I'd like to mention, that EE Cep is not rather a "pathological" star (shows only faint emissions and no massive absorptions like in M-type stars). So probably (... no-one checked it) it should be possible to transform TG, TB and TR into V, B and Rc using transformation equations for narrow field (see equations 6.11, ... 6.14 in AAVSO DSLR manual ver. 1.4).
You could also use alternative method described in sect.6.6 of DSLR manual for transforming TG, TB and TR, which is applied in a spreadsheet "R-I_V2.6.xlsx" The excel is avaiable on AAVSO portal (https://www.aavso.org/dslr-observing-manual#translations).
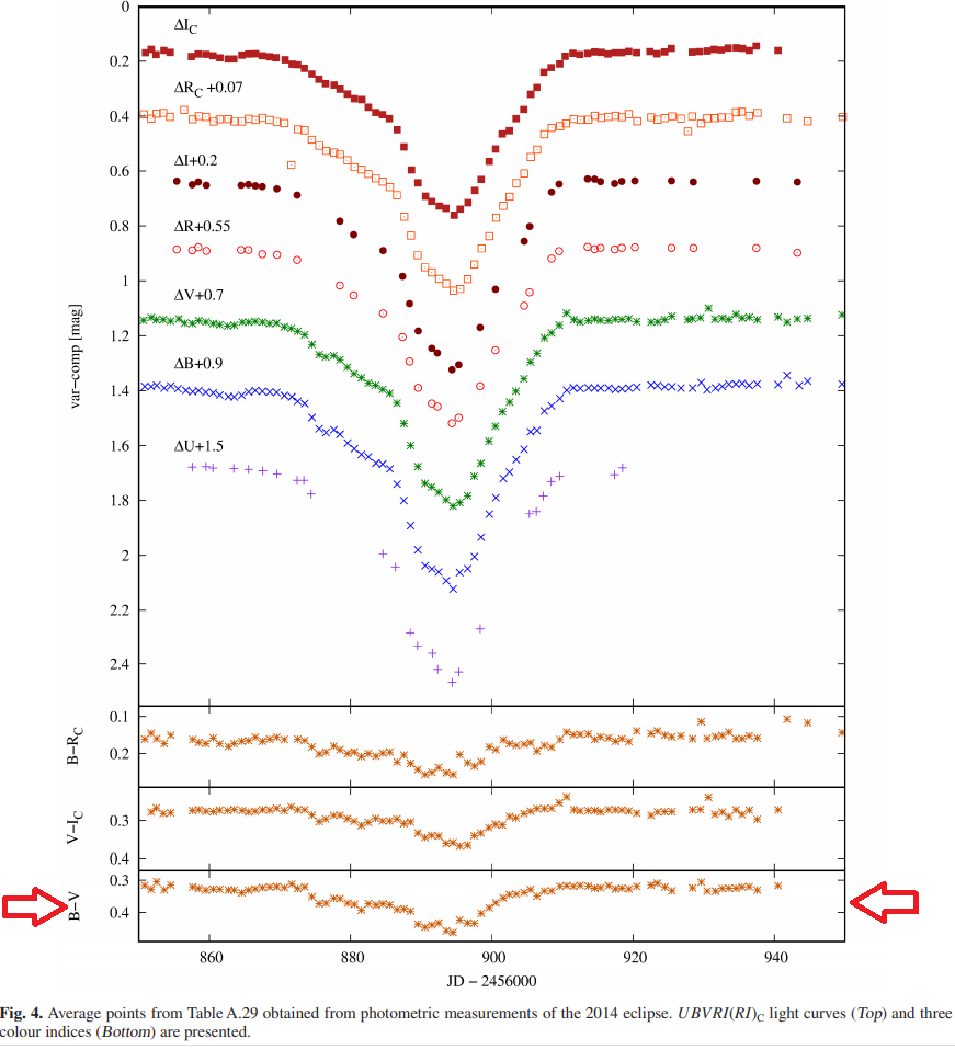
In the case of EE Cep eclipses are not grey. Color indexes like B-V change during the eclipses. Therefore it is not allowed to neglect this effect. For instance during the 2014 eclipse B-V index changed from ~+0,3 mag to ~+0,5 mag:
It could work with good quality data. The eclipse lasts long (over month) it may happen, that only your DSLR observations will be avaialble. It is worth to observe during such unusual moments!
Lately cooperation between DSLR, PEP and CCD photometrists has become fruitful - see i.e. LC from b Per eclipse in Jan 2020 --> https://www.aavso.org/comment/68625#comment-68625. It was more simple case - grey eclipse (funny - it turns out, that for first time during the eclipse colour B-V decreased by 0,02 mag).
CS,
Richard (BRIA).
About 0,1 mag decrease in brightness on 26th of Feb 2020 from observation of two independent observers. According to the ephemeris it should start on 7th of March 2020.
Hi Dariusz & Richard,
Thank you.
Here are my first obs with my 4-inch 102 / 500mm achromat refraktor and a Canon 200 D. The data is scattering a lot. Clouds were before and after the obs. window.. TG mean is looking better.
a: compare star
b,c,d as check stars
Bernhard
Brightness of EE Cep determined by you on evening on 28th of Feb 2020 is valuable. Your DSLR value is Tri-V ~ 10,941 mag, while other observers a little bit earlier determined brightness in the filter Johnson-V ~ 10,932 -10,933 mag.
Your value doesn't have a component marked by red box in equation for differential photometry from DSLR manual.
At the moment comparison star and the variable have nearly the same B-V indexes:
-) comp star BD+55 2690 --> B-V = 0,307 mag,
-) EE Cephei ~ 0,352 mag (estimated from AAVSO LC of EE Cep).
Tv_bv * Δ(B-V) ~ -0,10 <-> -0,15 * 0,045 mag ~ -0,005 <-> -0,007 mag (10,936 - 10,934 mag).
Above I assumed a typical value of Tv_bv for old unmodified DSLR cameras.
This time conditions for observations of EE Cep eclipse are not favourable. The object is extermely low over horizon during the night. It is the best to observe it as quickly as possible after sunset, or as late as possible before sunrise.
CS,
Richard (BRIA).
PS
I hope to make a DSLR photometry of EE Cep soon using similar setup.
Hi Richard,
thanks i will read about the transformation.
In the meantime i did some research why my data is scattering a lot.
(C-K) (Compare_star - Check_star) is much higher (0.7 mag amplitude) than V-C (0.2 mag amplitude), which is bad.
Normally this means, the check stars are not constant..
Does the high airmass effect (C-K) ? i don't think so?
The sky was pretty clear during obs. (See sky ADU is almost constant.)
EDIT: I have now tried ensemble with Muniwin 2.1.27. with star b=chk, the others as compare. see:
Now the (C-K) is looking much better. The (Compare_star - Check_star) Amplitude is reduced from 0,7 to 0,157 mag !
Hmm... Maybe my 102 / 500 mm achromat is too small? I have to repair my 200 / 900 Newton soon...
Hi,
i see that at JD 2458909.93747 the V band of colleague John Hall (HJW) has also a lillte scatter. But only with an amplitude of 0,061 mag!
I think it is very good, if one does record 10 data points for each band (if the time and weather conditions allow it.) To see which seeing conditions are there actually, at the particular nigth. Or at least 3 datapoints for each band, to get a mean value?
Because each single data point has an error of +/- 0,002 mag. But if there is an overall scatter of 0,061 mag, what does this mean? Is the resoulution this high, that we can see very tiny light fluctuations, after each data point? Or is the seeing condition of the atmoshphere changing slightly, and therefore we see the scatter of 0,061 mag, which is higher than a single error of 0,002 mag. Either way, more than one obs. would be good?
see: https://en.wikipedia.org/wiki/Astronomical_seeing
https://en.wikipedia.org/wiki/Astronomical_seeing#The_full_width_at_half_maximum_(FWHM)_of_the_seeing_disc
The diameter of the seeing disk, most often defined as the full width at half maximum (FWHM), is a measure of the astronomical seeing conditions.
The FWHM of the seeing disc (or just "seeing") is usually measured in arcseconds "
1" is at average conditions, 0,4" is the condition at the best observatory sites.
A closer look to my FWHM reveals, that it went from 1.8 to 4.68
So finnaly i think, after reading the wikipedia seeing info on FHWM, that the seeing conditions went very bad on that night. And thats the reason why my data points are scattering that much.
So not only the sky ADU, but also the FWHM are indicators of seeing conditions, and should be constant over a night.
I hope the weather will be fine soon, to give it another try (-:
Lets see if (C-K) compare -check star, differs also that much at other nights.
Bernhard
Hi,
after some investigation, a high airmass is also responsible for the high scatter. JD 0.23 to 0.29.
JD 0.62 with low airmass has less (better) scatter. So it's better to observate before sunrise.
I have the impression that my data corresponds with data of MZK. Data of BRIA (also DSLR) has a offset to my data (or vice versa..) but why?
WBEA
Thank you very much for observing the eclipse of EE Cephei 2020. The observations will be used for publication and for my PhD thesis. All observers who took part in the campaign will be included in a publication.
However, I am asking you to continue monitoring the brightness of the EE Cephei star (once a week is enough). This will allow us to prepare for the phenomenon that will take place around ϕ = 0.2 of the orbital phase, 20th of May 2021 (JD 2459354). In the previous epochs at this point of the orbital period, an increase of the near-infrared Ic flux was observed (Pieńkowski et al. 2020).
I hope that our joint work will allow us to guess what is really happening in the EE Cep system.
At this point, data from all over the world are still being sent to me, and I will start standardizing them in about a month or two. Maybe I will contact some of you.
Best regards
Dariusz Kubicki
We call for new observations of variable star EE Cep during the increase of the near-infrared Ic flux.
Around orbital phase ϕ = 0.2,which is expected around 20th of May 2021 (JD 2459354). In the previous epochs at this point of the orbital period, an increase of the near-infrared Ic flux was observed (Pieńkowski et al. 2020).
We recommend to carry out the observations between April 2021 and July 2021. Observing in Johnson-Cousins Rc, Ic system with accuracy of 0.01 magnitude or higher is advised. Near-infrared J, H, K photometry would be particularly usefull.
The details for the expected photometric data are the same as during the three previous campaigns (see e.g. Gałan et al. 2014).The finding chart and the comparison star's magnitudes may be found at https://sites.google.com/site/eecep2020campaign/for-observers. As a reference star “a”, BD+55ᴼ2690 is recommended. Observing stars ”b" GSC-3973:2150, “c” BD+55o2691, and “d”GSC-3973:1261 as the check stars to verify the variability of these stars is also advised.
Spectroscopic observations with high resolution (R~10000 or higher) are also recommended. Observing Hα, Hβ and Hγ lines and Na I doublet for analysis of line profiles will be useful. In case of spectrographs with low-resolution flux calibration will be essential to make the observations useful in analyses.
Please send the reduced data to Dariusz Kubicki (kubickid@gmail.com) and attach details about your institution and photometry or spectroscopy systems. You may also send the data to AAVSO International Database.